원문링크 :
Program to Find the Total Number of Possible Binary Search Trees with N Keys - javatpoint
Program to Find the Total Number of Possible Binary Search Trees with N Keys on fibonacci, factorial, prime, armstrong, swap, reverse, search, sort, stack, queue, array, linkedlist, tree, graph etc.
www.javatpoint.com
주어진 노드의 갯수로 몇개의 Binary Search Tree를 만들 수 있는지 묻는 문제이다.
The question is that how many Binary Search Trees I can construct with given nodes.
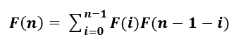
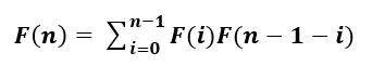
To find a regularities for construction of BST with specific nodes, let's observe some examples

Let's say a function that returns the number of BST that can make when we input the nubmer of nodes as F(n)
F(The number of nodes) = The number of BST that can construct
No doubt that F(1) = 1 and F(2) = 2. ( we are also gonna say F(0) = 1)
F(3) = F(0)F(2) + F(1)F(1) + F(2)F(0) = 1*2 + 1*1 + 2*1 = 5
F(4) = F(0)F(3) + F(1)F(2) + F(2)F(1) + F(3)F(0) = 1*5 + 1*2 + 2*1 + 5*1 = 14
so we can express like below

and also we can write a code like below with this idea
|
1
2
3
4
5
6
7
8
9
10
11
12
13
14
15
16
17
18
19
20
21
22
23
24
|
#include <stdio.h>
#include "datastructure.h"
int numberofBST(int numberofNodes) {
int *F;
F = (int*)malloc(sizeof(int)*numberofNodes);
F[0] = 1;
F[1] = 1;
for (int i = 2; i <= numberofNodes; i++) {
int sum = 0;
for (int j = 0; j < i; j++) {
sum += F[j] * F[i - j - 1];
}
F[i] = sum;
}
return F[numberofNodes];
}
int main() {
printf("The number of BST that can construct with %d nodes is %d\n", 5, numberofBST(5));
return 0;
}
|
They have another function for this question in original link
The code is like below
|
1
2
3
4
5
6
7
8
9
10
11
12
13
14
15
16
17
18
19
20
21
22
23
24
25
26
|
int factorial(int num) {
int fact = 1;
if(num == 0)
return 1;
else {
while(num > 1) {
fact = fact * num;
num--;
}
return fact;
}
}
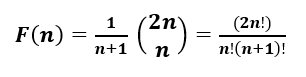
//numOfBST() will calculate the total number of possible BST by calculating Catalan Number for given key
int numOfBST(int key) {
int catalanNumber = factorial(2 * key)/(factorial(key + 1) * factorial(key));
return catalanNumber;
}
int main(){
//Display total number of possible binary search tree with key 5
printf("Total number of possible Binary Search Trees with given key: %d", numOfBST(5));
return 0;
}
|
It is interesting that using factorial to solve this problem
The main idea is same but the expression of it is little bit different
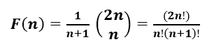
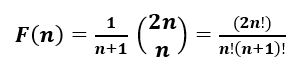
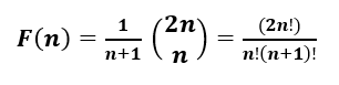
They simplify the equation by using combination like this

To understand this equation we should know about the Catalan Number
https://en.wikipedia.org/wiki/Catalan_number
Catalan number - Wikipedia
From Wikipedia, the free encyclopedia Jump to navigation Jump to search Recursive integer sequence In combinatorial mathematics, the Catalan numbers form a sequence of natural numbers that occur in various counting problems, often involving recursively-def
en.wikipedia.org
https://soccer-programming.tistory.com/18
카탈란수(catalan number)
이 개념이 적용된 프로그래밍 문제를 풀 때 풀이과정이 흥미로웠다. 이를 다른 사람들과 공유하고 동시에 기록에 남기고 싶어서 이렇게 글을 쓴다. 카탈란 수는 자연수로 이루어진 수열이다. 항을 차례대로 나열하..
soccer-programming.tistory.com
'Programming > DataStructure' 카테고리의 다른 글
| [자료구조] Hashtable Implementation in C (0) | 2020.04.06 |
|---|---|
| [자료구조] Print a Binary Tree in Vertical Order (0) | 2020.04.04 |
| [자료구조] Program to find the nodes which are at the maximum distance in a Binary Tree (0) | 2020.03.19 |
| [자료구조] Program to find maximum width of a binary tree (0) | 2020.03.19 |
| [자료구조] Program to determine whether two trees are identical (0) | 2020.03.10 |
댓글